Penyelesaian Pertidaksamaan X 5 3x 1 2 Adalah

Masalah yang muncul dalam materi ini adalah penentuan penyelesaian pertidaksamaan tersebut.
Penyelesaian pertidaksamaan x 5 3x 1 2 adalah. Himpunan penyelesaian dari pertidaksamaan kuadrat x 2 8x 15 0 untuk x r adalah a. 3x 2 13 3x 13 2 3x. 39 2 x 1 11x 2 2x 49 2x 2 11x 2 4x 51 11x 4x 51 2 7x 49 x 7. 39 2 x 1 penyelesaian.
Garis 1 dan garis 2 berada di x dan y positif sehingga pertidaksamaan yang berlaku adalah x 0 dan y 0. Dan jika tandanya atau maka daerah hasil yang dimaksud adalah daerah negatif. Contoh soal pertidaksamaan nilai mutlak pilihan ganda kunci jawaban bank contoh soal pertidaksamaan nilai mutlak dan kunci jawaban beserta pembahasan untuk siswa yang berjumlah 20 butir soal yang telah kami rangkum ini sering keluar dalam ulangan ataupun ujian nasional jadi insyaallah sangat bermanfaat untuk siswa pelajari. Tentukan himpunan penyelesaian dari pertidaksamaan x 2 5x 14 0 untuk xϵr.
0 maka persamaan garisnya. Himpunan penyelesaian dari pertidaksamaan tersebut dinyatakan dalam bentuk interval. Selain daerah yang dibatasi oleh batas rangkap tanda positif dan negatif berselang seling. Setelah mempelajari mengenai penyelesaian persamaan irasional sekarang saatnya kita beranjak menuju penyelesaian pertidaksamaan irasional.
Pertidaksamaan kuadrat hampir sama dengan persamaan kuadrat berikut ini adalah penjelasan lengkap mengenai pertidaksamaan yang meliputi bentuk umum serta langkah langkah penyelesaian pertidaksamaan kuarat beserta contoh soal untuk lebih jelasnya simak pembahasan dibawah ini. Definit positif bentuk ax 2 bx c 0 dikatakan definit positif jika a 0 dan d 0 jika pertidakasamaan ax 2 bx c 0 dalam kondisi definit positif maka penyelesaiannya adalah semua x î r. X 5 x 3 b. Berdasarkan garis bilangan kita tentukan himpunan penyelesaian pertidaksamaan kuadrat.
Untuk x e bilangan cacah himpunan penyelesaian dari 3x 2 13 ialah. 11x 2 2. X 3 x 5. 4 dan 6.
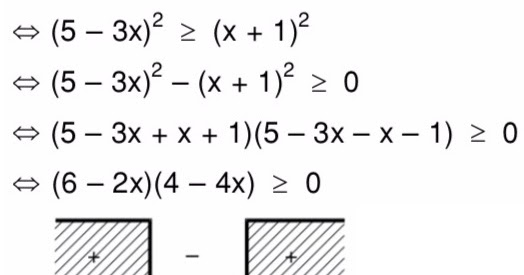
Karena tanda pertidaksamaan 0 maka yang diarsir adalah yang positif. Selanjutnya tentukan persamaan garis 1 dan garis 2 dengan cara dibawah ini. Kkarena 1 2 adalah batas rangkap 1 2 muncul sebanyak 2 kali sebagai harga nol jadi 1 2 merupakan batas rangkap maka di sebelah kiri 1 2 juga bernilai positif. Untuk lebih jelasnya perhatikan contoh soal pertidaksamaan kuadrat dan pembahasannya dibawah ini.
Yaitu penyelesaian dari suatu pertidaksamaan. Penyelesaiannya hampir mirip dengan penyelesaian persamaan irasional namun pada bagian ini garis bilangan kemungkinan banyak dipakai untuk menentukan irisan dari penyelesaian dan syarat yang muncul karena adanya bentuk akar. Jika tandanya atau maka daerah hasil yang dimaksud adalah daerah negatif. Sederhanakan soal himpunan pertidaksamaan dari.