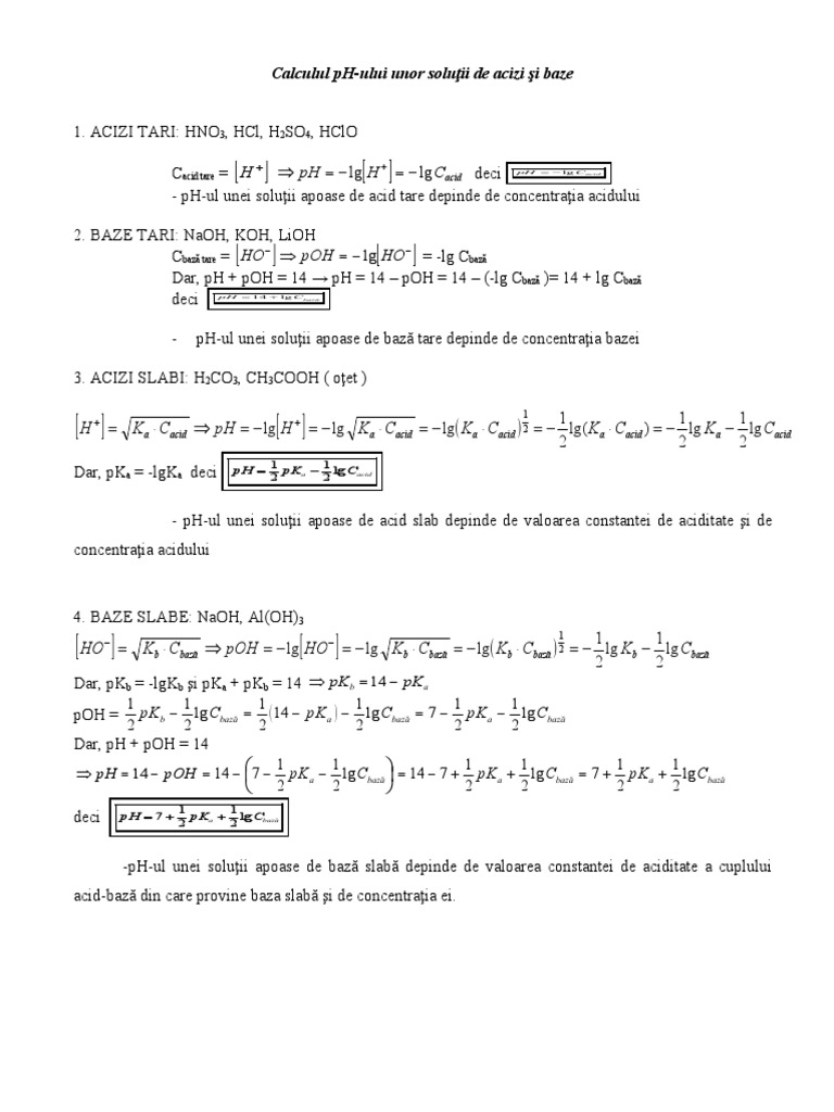
Ph Ul Solutiilor Apoase

Apa este un amfolit acido bazic care poate funcţiona fie ca acid donând un proton şi transformându se în ion hidroxil fie ca bază acceptând un proton şi transformându se în ion hidroniu mai jos este reprezentată reacţia de autoprotoliză a apei sau reacţia globală de ionizare.
Ph ul solutiilor apoase. Salvare salvați ph ul solutiilor apoase pentru mai târziu 4 4 voturi pozitive bifați acest document drept util 0 0 voturi negative bifați acest document drept nefolositor inserare partajare. Pentru a putea vizualiza un test vă rugăm să vă logaţi aici. Partajeaza cu google classroom. Dar dacă ești elev în clasa a ix a știi că în cadrul orelor de chimie vei studia despre ph ul soluțiilor apoase sau chiar vei primi ca și temă de casă să realizezi un referat cu această temă.
Tabus diana tache mario ph ul solutiilor apoase ce este ph ul. Ph ul se măsoară pe o scară logaritmică cu valori între 0 şi 14 valoarea 0 pe această scară reprezintă aciditatea maximă în timp ce valoarea 14 reprezintă alcalinitatea maximă. Indiferent ce clasă urmezi la liceu trebuie să știi ce reprezintă ph ul soluțiilor apoase. Dacă nu aveţi cont vă puteţi înregistra apăsând aici.
Ph ul soluțiilor apoase. De asemenea veți determina ph ul unor soluții și veți observa cum variază valoarea acestuia în funcție de substanța dizolvată și de concentrație. Test de evaluare a cunoștințelor acumulate. Ph ul este o măsură a puterii sau a tăriei caracterului acid sau bazic al unei substanțe.
Ph ul potențialul de hidrogen reprezintă logaritmul zecimal cu semn schimbat al concentrației ionilor de hidrogen dintr o soluție indicând caracterul acid sau bazic al acesteia prin noțiunea de ph se exprimă cantitativ aciditatea sau bazicitatea unei substanțe pe baza concentrației ionilor numiți hidroniu h 3 o pentru soluțiile foarte diluate se consideră că ph ul nu mai. Ph ul este o măsură a puterii sau a tăriei caracterului acid sau bazic al unei substanţe. Ph ul solutiilor apoase determinări de conductivitate electrică a apei pure distilată de mai multe ori au impus admiterea existenţei unor purtători de sarcină electrică ce provin din disocierea apei după reacţia. 17 mai 2020 16 31.
Noțiunea de ph a fost introdusă prima dată de către chimistul danez søren sørensen în anul 1909 pentru a crea o scară universală pentru aprecierea acidității respectiv a bazicității soluților apoase. Ph ul unei soluții este egal cu puterea cu semn schimbat a scala de ph. Activitatea pe care o veți desfășura vă va ajuta să descoperiți prin investigație științifică caracterul acid bazic sau neutru al unor soluții cunoscute de voi.